Не допускайте повреждений вследствие критической длины труб
Компрессоры объемного типа не обеспечивают постоянную подачу хладагента в полном объеме: на сторонах высокого и низкого давления возникают пульсации. Пульсации распространяются в трубопроводах со скоростью звука в среде паров хладагента и могут отражаться от колен/отводов под углом 90°, закрытых концов или клапанов. При неправильном выборе длины прямых участков трубопроводов до места отражения возникают резонансы и стоячие волны. Это может приводить к очень высоким пикам давления, значительным нагрузкам на трубопровод и заметному повышению температуры. Вследствие этих эффектов возможны разрывы труб.
Чтобы избежать разрывов, следует выполнить расчет критической длины труб и избегать прямых участков большей длины в установке/системе, в частности в напорном газопроводе и линии экономайзера. Также следует избегать прокладки труб половинной длины: это соответствует гармонике на удвоенной частоте.
Для расчета потребуется:
- скорость звука в среде паров хладагента при соответствующих значениях давления и температуре внутри системы, которую можно определить с помощью программ расчета холодильного оборудования, например ASEREP от Asercom или RefProp от NIST.
- Частота пульсаций, которая зависит от типа компрессора и частоты напряжения привода, т. е. является переменной величиной в случае преобразователей частоты.
Для компрессоров BITZER действительно следующее:
Тип | Частота вращения | Пульсация | |
|---|---|---|---|
Полугерметичные поршневые компрессоры | n ≈ 0,5 x f | fp = n x z | 4-полюсные двигатели, |
Винтовые компрессоры | n ≈ f | fp = n x z | 2-полюсные двигатели, |
Спиральные компрессоры | n ≈ f | fp = n | 2-полюсные двигатели, |
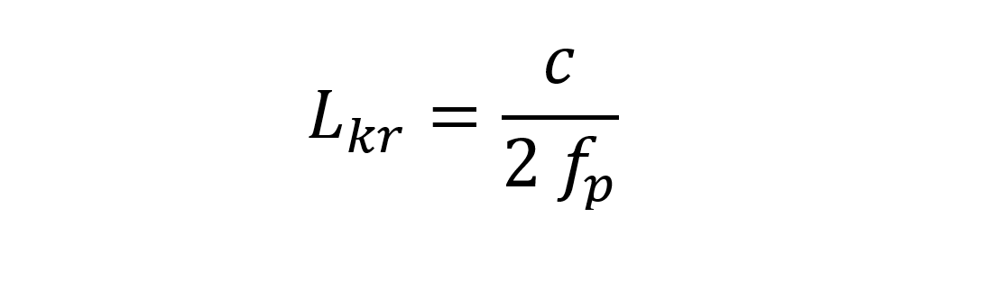
Критические значения длины трубопроводов можно рассчитать следующим образом:

c: скорость звука, м/с
Пример расчета для винтового компрессора с преобразователем частоты:
z = 5; f = 20 .. 60 Гц; fp = 100 .. 300 (600) Гц
tc = 60 °C, tV2 = 100 °C, R1234yf
Lkr = 0,72 .. 0,24 (0,12) м
Пример расчета для 4-цилиндрового поршневого компрессора с преобразователем частоты:
z = 4; f = 25 .. 70 Гц; fp = 100 .. 280 (560) Гц
tc = 50 °C, tV2 = 90 °C, R290
Lkr = 2,39 .. 0,85 (0,43) м
Для расчетных значений критической длины труб также не следует использовать диапазон ±15 %, чтобы покрыть неопределенности, например, при определении температуры и давления, а также проскальзывания асинхронного двигателя. В вышеприведенных примерах число в скобках указывает число гармоник с удвоенной частотой. Если не представляется возможным избежать определенной длины трубопровода, то можно рассчитать, какие частотные диапазоны необходимо деактивировать.
Отражение можно в значительной степени подавить путем
- использования двух колен 45° вместо одного колена 90°,
- изогнутых труб с большим радиусом изгиба (более чем в 24 раза превышающим диаметр трубы) и
- соединениями под углом 45°.
Правильно настроенные пульсационные демпферы в трубопроводах для сжатого газа и экономайзера часто довольно эффективно гасят возникающие пульсации.