Schäden durch kritische Rohrlängen vermeiden
Verdrängungsverdichter fördern das Kältemittel nicht vollkommen stetig: Hochdruck und Niederdruck sind von Pulsationen überlagert. Die Pulsationen breiten sich in den Rohrleitungen mit der Schallgeschwindigkeit des Kältemitteldampfes aus und können an 90°-Rohrbögen, geschlossenen Enden oder Ventilen reflektiert werden. Bei ungünstig gewählten geraden Rohrlängen bis zum Reflexions-Ort entstehen Resonanzen und stehende Wellen. Diese können zu sehr hohen Druckspitzen, großen Kräften auf die Rohrleitung und starken Temperaturerhöhungen führen. Rohrbrüche durch diese Effekte sind möglich.
Um Rohrbrüche zu vermeiden, sollte man kritische Rohrlängen berechnen und dann in der Anlage als gerade Rohrleitungsstücke vermeiden, besonders in der Druckgasleitung und Economiser-Leitung. Auch die halbe Rohrlänge sollte vermieden werden: sie entspricht der Harmonischen mit der doppelten Frequenz.
Zur Berechnung benötigt man:
- Die Schallgeschwindigkeit im Kältemitteldampf bei den jeweiligen Anlagendrücken und -temperaturen. Sie kann mithilfe von Kältemittel-Stoffdatenprogrammen wie ASEREP von Asercom oder RefProp von NIST bestimmt werden.
- Die Frequenz der Pulsationen. Sie ist abhängig von der Verdichterkonstruktion und der Frequenz der Antriebsspannung, also bei Frequenzumrichtern variabel.
Für BITZER Verdichter gilt dabei:
Bauart | Drehzahl | Pulsation | |
|---|---|---|---|
Halbhermetische Hubkolbenverdichter | n ≈ 0,5 x f | fp = n x z | 4-polige Motoren, |
Schraubenverdichter | n ≈ f | fp = n x z | 2-polige Motoren, |
Scrollverdichter | n ≈ f | fp = n | 2-polige Motoren, |
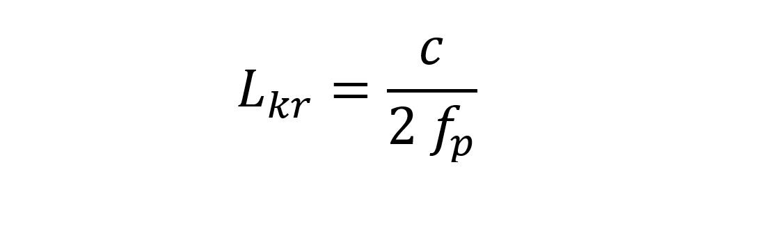
Die kritischen Rohrlängen lassen sich dann folgendermaßen berechnen:

c: Schallgeschwindigkeit in m/s
Beispiel für Schraubenverdichter mit Frequenzumrichter:
z = 5; f = 20 .. 60 Hz; fp = 100 .. 300 (600) Hz
tc = 60°C, tV2 = 100°C, R1234yf
Lkr = 0,72 .. 0,24 (0,12) m
Beispiel für 4-Zylinder-Hubkolbenverdichter mit Frequenzumrichter:
z = 4; f = 25 .. 70 Hz; fp = 100 .. 280 (560) Hz
tc = 50°C, tV2 = 90°C, R290
Lkr = 2,39 .. 0,85 (0,43) m
Um die berechneten Werte für die kritische Rohrlänge sollte ein Bereich ±15% ebenfalls nicht benutzt werden, um Unsicherheiten z.B. bei der Bestimmung von Temperatur und Druck und den Schlupf des Asynchronmotors abzudecken. In den obigen Beispielen entspricht die eingeklammerte Zahl der Harmonischen mit doppelter Frequenz. Lassen sich bestimmte Rohrlängen nicht vermeiden, kann umgekehrt ausgerechnet werden, welche Frequenzbereiche ausgeblendet werden müssen.
Die Reflexion lässt sich weitgehend unterdrücken durch
- den Einsatz von zwei 45°-Bögen anstelle eines 90°-Bogens,
- gebogenen Rohren mit großem Biegeradius mit >24 mal dem Rohrdurchmesser und
- Zusammenführungen mit 45°.
Gut abgestimmte Pulsationsdämpfer in den Leitungen für Druckgas und Economiser-Anschluss können die Pulsationen häufig ausreichend dämpfen.